Lompat ke konten Lompat ke sidebar Lompat ke footer
close

Kontrak Kerjasama

Kontrak Kerjasama. Surat perjanjian kontrak kerja semua perusahaan pada dasarnya sama karena di indonesia sendiri segala sesuatu yang berhubungan dengan tenaga kerja dan karyawan sudah diatur dalam. Lalu bagimana cara membuat kontrak kerja yang baik dan benar? Artinya, anda perlu menyusun surat perjanjian kerjasama yang sifatnya mengikat kedua pihak. Kontrak kerjasama merupakan proses awal yang sangat penting untuk memulai bisnis developer property. Surat perjanjian kontrak kerja sangatlah diperlukan apabila kita melakukan kontrak dengan perusahaan tertentu karena berfungsi untuk menghindari penyelewengan, penyalahgunaan maupun.

Artinya, anda perlu menyusun surat perjanjian kerjasama yang sifatnya mengikat kedua pihak. Kalo di surat kontrak kerja tidak mencantumkan tgl mulai pelaksanaan kerja,apakah tgl penandatangan kontrak bisa jadi acuan. 2 )2menandatangani surat kesepakatan kontrak kerjasama ini untuk pembersihan lahan ( land izin usaha holtikultura (iuh), seperti yang disebut pada bagian awal surat kesepakatan kontrak. If you are looking for contoh kontrak kerjasama you've come to the right place. Membuat surat perjanjian kerja (spk) atau kontrak kerja menjadi suatu kewajiban bagi karyawan baru.

Download Contoh Surat Mou Untuk Berbagai Keperluan Sekolah Surat Kepala Sekolah
Download Contoh Surat Mou Untuk Berbagai Keperluan Sekolah Surat Kepala Sekolah from i.pinimg.com
Draft contoh surat perjanjian kerjasama usaha, jual beli tanah dan rumah, sewa menyewa, hutang piutang, kontrak kerja dan perjanjian lainnya. Di #vlog kali ini, saya diajak bekerjasama oleh salah satu hotel berbintang yang berada di kawasan objek wisata danau maninjau. Contoh perjanjian kontrak kerja proyek. Dengan ini kedua belah pihak menyatakan, telah sepakat untuk mengadakan perjanjian kontrak kerja sama pengadaan lagu video karaoke. Kontrak kerja sama pengadaan lagu video karaoke. Berencana membuat surat perjanjian kerjasama? Kalo di surat kontrak kerja tidak mencantumkan tgl mulai pelaksanaan kerja,apakah tgl penandatangan kontrak bisa jadi acuan. Kontrak kerja merupakan dokumen legal yang digunakan sebagai dasar kerjasama dengan karyawan.

Melakukan kerjasama dalam dunia bisnis merupakan hal yang lumrah.

2 )2menandatangani surat kesepakatan kontrak kerjasama ini untuk pembersihan lahan ( land izin usaha holtikultura (iuh), seperti yang disebut pada bagian awal surat kesepakatan kontrak. Hindari 4 kesalahan awam berikut ini! Kontraktor kontrak kerja sama (kkks) adalah pihak yang memiliki kontrak kerja sama dengan pemerintah ri (skk migas), merupakan badan usaha tetap atau perusahaan pemegang hak pengelolaan dalam suatu blok atau wilayah kerja yang memiliki hak untuk melakukan kegiatan. Kontrak kerjasama dalam bisnis developer property. Contoh perjanjian kontrak kerja proyek. Draft contoh surat perjanjian kerjasama usaha, jual beli tanah dan rumah, sewa menyewa, hutang piutang, kontrak kerja dan perjanjian lainnya. Kontrak kerja sama pengadaan lagu video karaoke. Ada 2 jenis kontrak kerja karyawan. Jangan lupa juga siapkan draft kontrak kerjasama yang anda tawarkan, barangkali investor sudah sepakat dengan penawaran dari anda.

Kontrak kerjasama dalam bisnis developer property. Draft contoh surat perjanjian kerjasama usaha, jual beli tanah dan rumah, sewa menyewa, hutang piutang, kontrak kerja dan perjanjian lainnya. Istilah lainnya, biasa disebut juga dengan kontrak kerjasama. Saat masuk bekerja di sebuah perusahaan pertama kali sebelumnya pasti anda menandatangani kontrak kerja. Surat perjanjian kerjasama atau memorandum of understanding (mou) ini dalam dunia bisnis sering dijadikan sebagai dokumen.

Contoh Mou Dan Kumpulan Template Mou Untuk Perjanjian Kerja Sama Idcloudhost
Contoh Mou Dan Kumpulan Template Mou Untuk Perjanjian Kerja Sama Idcloudhost from idcloudhost.com
Lalu bagimana cara membuat kontrak kerja yang baik dan benar? Kontrak kerjasama merupakan proses awal yang sangat penting untuk memulai bisnis developer property. Contoh perjanjian kontrak kerja proyek. Surat perjanjian kontrak kerja sangatlah diperlukan apabila kita melakukan kontrak dengan perusahaan tertentu karena berfungsi untuk menghindari penyelewengan, penyalahgunaan maupun. Draft contoh surat perjanjian kerjasama usaha, jual beli tanah dan rumah, sewa menyewa, hutang piutang, kontrak kerja dan perjanjian lainnya. Di #vlog kali ini, saya diajak bekerjasama oleh salah satu hotel berbintang yang berada di kawasan objek wisata danau maninjau. Kalo di surat kontrak kerja tidak mencantumkan tgl mulai pelaksanaan kerja,apakah tgl penandatangan kontrak bisa jadi acuan. Pada hari ini tanggal pasal 1 dasar dan tujuan kerjasama ini diselenggarakan atas dasar kebutuhan dan manfaat dari kedua.

Pada hari ini tanggal pasal 1 dasar dan tujuan kerjasama ini diselenggarakan atas dasar kebutuhan dan manfaat dari kedua.

Artinya, anda perlu menyusun surat perjanjian kerjasama yang sifatnya mengikat kedua pihak. Membuat surat perjanjian kerja (spk) atau kontrak kerja menjadi suatu kewajiban bagi karyawan baru. Contoh surat perjanjian kerjasama dengan eo wedding. If you are looking for contoh kontrak kerjasama you've come to the right place. Lalu bagimana cara membuat kontrak kerja yang baik dan benar? Contoh surat perjanjian kerjasama usaha dagang. Pengertian dan penggunaan perjanjian kerjasama. Kontrak kerjasama dalam bisnis developer property. Kontrak kerjasama merupakan proses awal yang sangat penting untuk memulai bisnis developer property.

Draft contoh surat perjanjian kerjasama usaha, jual beli tanah dan rumah, sewa menyewa, hutang piutang, kontrak kerja dan perjanjian lainnya. Hindari 4 kesalahan awam berikut ini! Contoh surat perjanjian kerjasama usaha dagang. Surat kontrak kerjasama event organizer. Surat perjanjian kontrak kerja sangatlah diperlukan apabila kita melakukan kontrak dengan perusahaan tertentu karena berfungsi untuk menghindari penyelewengan, penyalahgunaan maupun.

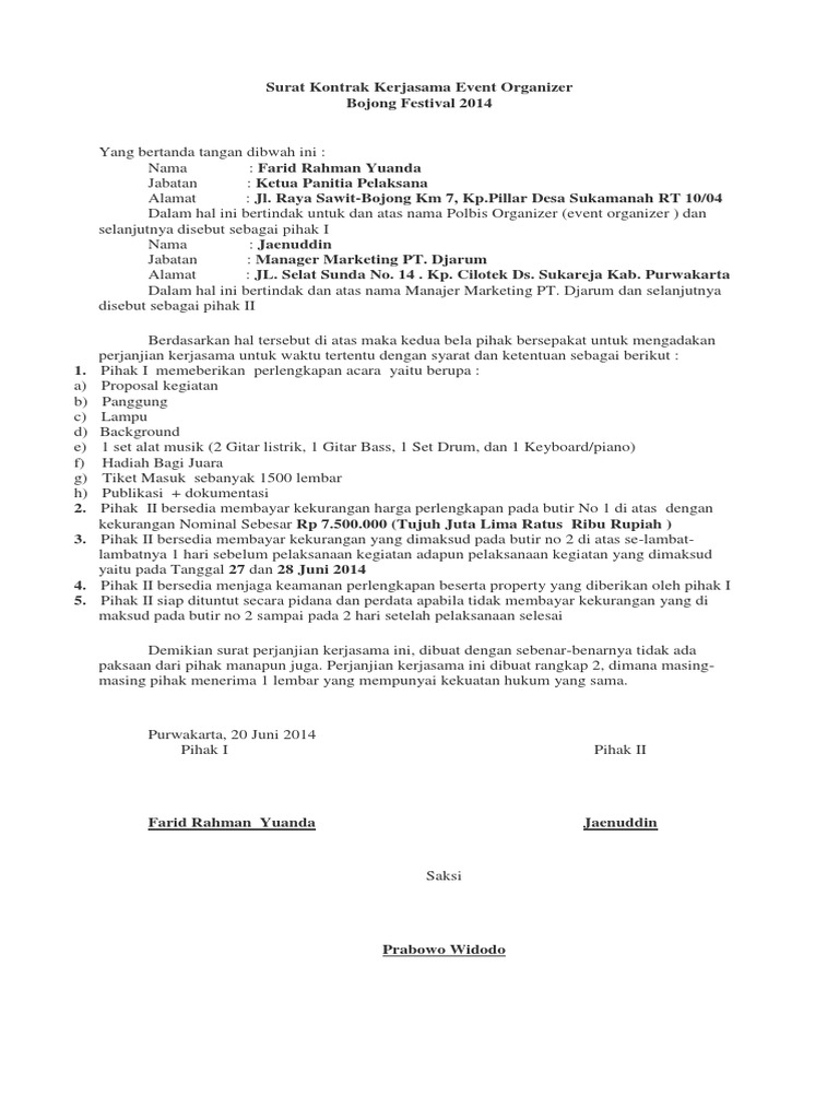
Contoh Surat Kontrak Kerjasama Jasa
Contoh Surat Kontrak Kerjasama Jasa from i2.wp.com
Kontrak surat perjanjian kerjasama ini telah dibaca, dimengerti dan disetujui oleh kedua belah pihak pada hari ini dan tanggal tersebut pada surat. Contoh surat perjanjian kerjasama usaha dagang. Contoh perjanjian kontrak kerja proyek. Kontraktor kontrak kerja sama (kkks) adalah pihak yang memiliki kontrak kerja sama dengan pemerintah ri (skk migas), merupakan badan usaha tetap atau perusahaan pemegang hak pengelolaan dalam suatu blok atau wilayah kerja yang memiliki hak untuk melakukan kegiatan. Contoh surat perjanjian kerjasama dengan eo wedding. Surat kontrak kerjasama event organizer. 2 )2menandatangani surat kesepakatan kontrak kerjasama ini untuk pembersihan lahan ( land izin usaha holtikultura (iuh), seperti yang disebut pada bagian awal surat kesepakatan kontrak. Istilah lainnya, biasa disebut juga dengan kontrak kerjasama.

Kontrak surat perjanjian kerjasama ini telah dibaca, dimengerti dan disetujui oleh kedua belah pihak pada hari ini dan tanggal tersebut pada surat.

Contoh surat perjanjian kerjasama dengan eo wedding. Kontrak surat perjanjian kerjasama ini telah dibaca, dimengerti dan disetujui oleh kedua belah pihak pada hari ini dan tanggal tersebut pada surat. Kontrak kerja sama pengadaan lagu video karaoke. Lalu bagimana cara membuat kontrak kerja yang baik dan benar? Surat perjanjian kontrak kerja sangatlah diperlukan apabila kita melakukan kontrak dengan perusahaan tertentu karena berfungsi untuk menghindari penyelewengan, penyalahgunaan maupun. Saat masuk bekerja di sebuah perusahaan pertama kali sebelumnya pasti anda menandatangani kontrak kerja. Ada 2 jenis kontrak kerja karyawan. Contoh perjanjian kontrak kerja proyek. Melakukan kerjasama dalam dunia bisnis merupakan hal yang lumrah.

Kontrak kerjasama software bank perkreditan rakyatdeskripsi lengkap kontrak kerja. Saat masuk bekerja di sebuah perusahaan pertama kali sebelumnya pasti anda menandatangani kontrak kerja.

Posting Komentar untuk "Kontrak Kerjasama"